20-6-2 Кинематика жидкой среды
Задача 20-6-2-1. В аэродинамике существуют два метода кинематического исследования жидкой среды, один из которых называют методом Лагранжа, а другой - методом Эйлера. Каково основное содержание этих методов и чем они различаются? Рассмотрите также следующую задачу. Пусть движение жидкости задано проекциями скоростей в переменных Эйлера (x, y, z): Vx = x9 + nt, Vy = -ky + lt, Vz = 0, где m, n, l, k - постоянные величины. Перейдите от переменных Эйлера к переменным Лагранжа и определите в этих новых переменных уравнение траектории.
Задача 20-6-2-2. Найдите уравнения линий тока и траекторий для трех видов движения жидкости, заданных следующими проекциями скоростей:
1) Vx = -ay, Vy = ax, Vz = 0
2) Vx = x + t, Vy = -t + t, Vz = 0
3) Vx = ax/R3, Vy = ay/R3, Vz = az/R3
здесь а – постоянная величина;
Скачать решение задачи 20-6-2-2 (цена 50р)
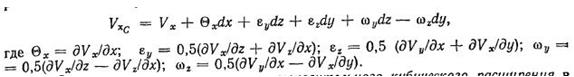
Задача 20-6-2-3. Укажите основное отличие характера движения жидкой частицы от характера движения твердого тела, а также элементы, из которых складывается деформационное движения жидкой частицы. Выделите элементы, характеризующие поступательное, вращательное и деформационное движения жидкой частицы в виде параллелепипеда, скорость точки С которой определяется по формуле

Задача 20-6-2-4. Определите значение скорости относительного кубического расширения в потоке газа, проекции скорости которого заданы уравнениями Vx = cx/[p(x2 + y2)], Vy = cy/[p(x2 + y2)] Vz = 0, где р - плотность газа; с - некоторая постоянная.
Задача 20-6-2-5. В двумерном плоском потоке жидкости расположена бесконечно малая частица в форме круга с уравнением x12 + y12 = r2. Определите форму этой частицы и изменение ее площади после деформации при условии, что эта деформация линейная и происходит вдоль осей Ox1 и Оу1, являющихся главными осями деформации (рис. 2.1).

Рис. 2.1. Схема деформации жидкой частицы
Скачать решение задачи 20-6-2-5 (цена 50р)
Задача 20-6-2-6. Определите, каким будет по характеру - вихревым или потенциальным - поток жидкости в трубе, в которой скорость по ее сечению распределяется по степенному закону Vx = Vmax(y/r0)^n, где Vmax - наибольшая скорость в центре трубы; r0 - радиус трубы; y = r0 - r (рис, 2.2). Найдите для этого случая, ротор скорости rotY.

Рис. 2.2. Распределение скоростей по сечению трубы
Задача 20-6-2-7. На рис. 2.3 показано двумерное плоское течение - плоский вихрь. В этом течении линиями тока служат концентрические окружности, причем скорость V зависит только от радиуса г в соответствии с формулой V const/r. Докажите, что такое течение безвихревое, и напишите в общем виде условие существования безвихревых движений жидкости.

Рис. 2.3. Схема циркуляционного потока
Скачать решение задачи 20-6-2-7 (цена 50р)
Задача 20-6-2-8. Напишите равенства, выражающие необходимые и достаточные условия, для того чтобы составляющие скорости Vх, Vу, Vz являлись частными производными по координатам от некоторой функции ф- потенциала скоростей. Покажите, что вектор скоростей равен градиенту этой функции, т. е. V = grad ф.
Задача 20-6-2-9. Определите составляющие угловой скорости частиц жидкости в потоке, для которого проекции скорости на оси координат Vх = -аху, Vу = ауz, Vz = ахz, где а - некоторая постоянная.
Скачать решение задачи 20-6-2-9 (цена 50р)
Задача 20-6-2-10. Рассмотрите вывод уравнения неразрывности на основе метода Лагранжа.
Задача 20-6-2-11. При выводе уравнения неразрывности можно исходить из метода Эйлера. Каково по физическому смыслу условие этого вывода?
Задача 20-6-2-12. Используя метод Эйлера, выведите уравнение неразрывности для случая неустановившегося движения газа за цилиндрической ударной волной, возникающей перед расширяющимся цилиндрическим поршнем (рис. 2.4).

Рис. 2.4. Схема движения газа цилиндрической ударной волной
Задача 20-6-2-13. Используя метод Эйлера, получите уравнение неразрывности в цилиндрических и сферических координатах.
Задача 20-6-2-14. Покажите, что уравнение dp/dt + d(pV)/dr + epV/r = 0 представляет собой уравнение неразрывности для течения с плоскими, цилиндрическими и сферическими волнами (величина е равна соответственно 0; 1; 2).
Задача 20-6-2-15. Выведите уравнения неразрывности для следующих видов движения газа: 1) каждая частица описывает окружность, перпендикулярную постоянной оси и с центром на ней; 2) скорости частиц, расположенных в пространстве симметрично относительно неподвижного центра, направлены либо от центра, либо к нему и зависят только от расстояния до этого центра; 3) частицы газа движутся в плоскости, проходящей через ось х.
Задача 20-6-2-16. Движение газа характеризуется тем, что траектории частиц располагаются в одном случае на поверхностях коаксиальных цилиндров, а в другом - на поверхности конусов, коаксиальных с осью х и имеющих общую вершину. Напишите уравнение неразрывности для каждого из этих случаев.
Задача 20-6-2-17. Какой вид имеют уравнения неразрывности в декартовых координатах, используемые для исследования установившегося обтекания сжимаемой жидкостью профиля крыла, а также крыла конечного размаха (рис. 2.5)?

Рис. 2.5. Профиль и крыло конечного размаха
Задача 20-6-2-18. Преобразуйте уравнение неразрывности

Задача 20-6-2-19. Потенциальная функция полностью определяет характер движения жидкости, так как по ней можно определить скорость в любой точке течения. Можно указать также на наличие другой функции, определяющей движение, - функции тока ф. Дайте определение этой функции, укажите виды потоков, для которых она существует, и напишите соотношения, отражающие связь между функциями ф и ψ.
Задача 20-6-2-20. Определите функцию тока ф, если известен потенциал скоростей несжимаемого течения ф = а(х2 - y2), где а - некоторая постоянная (а>0).
Скачать решение задачи 20-6-2-20 (цена 50р)
Задача 20-6-2-21. Используя понятия векторного анализа, докажите свойство ортогональности линий тока и эквипотенциальных линий (на плоскости) или эквипотенциальных поверхностей (в пространственном осесимметричном потоке).
Задача 20-6-2-22. В плоском несжимаемом потоке составляющие скорости заданы уравнениями Vх = x – 4y, Vy = -y – 4x. Покажите, что эти составляющие скорости удовлетворяют уравнению неразрывности, а также найдите выражение для функции тока. В потенциальном потоке получите выражение потенциала скоростей.
Скачать решение задачи 20-6-2-22 (цена 50р)
Задача 20-6-2-23. Определите расход жидкости через произвольную кривую (контур) AB для случая двумерного (плоского или пространственного осесимметричного) течения, если известны значения функций тока в точках А и В.
Задача 20-6-2-24. Вычислите расход жидкости через отрезок прямой линии, соединяющей точки А (х1 = 0; у1 = 0) и В (х2 = 1, у2 = 1), в случае движения, определяемого потенциалом скоростей ф = х(х2 - 3у2).
Скачать решение задачи 20-6-2-24 (цена 50р)
Задача 20-6-2-25. Докажите теорему Гельмгольца о постоянстве вдоль вихревой трубки ее интенсивности. Какое важное свойство вихревых трубок следует из теоремы Гельмгольца?
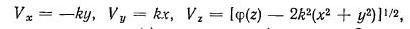
Задача 20-6-2-26. Движение задано проекциями скорости

где k - постоянная величина; ф(z) - некоторая функция z. Определите ротор скорости S = rot V и укажите его направление.
Задача 20-6-2-27. Вычислите циркуляцию скорости по контуру K, соединяющему точки с координатами А (х, 0) и B (0, у) в потоке жидкости, заданном проекциями скорости Vх = -ах/(х2 + у2), Vу = ау/(х2 + у2), Vx = 0, где а - некоторая постоянная.
Задача 20-6-2-28. Определите циркуляцию скорости Г в осесимметричном воздушном потоке (плотность p = const = 1,20 кг/м3), если известно, что разность давлений между двумя цилиндрическими поверхностями тока (линиями тока в виде концентрических окружностей на плоскости) составляет 150 Па. Радиус внутренней поверхности r1 = 1м, радиус внешней поверхности r2 = 1,2 м.
Скачать решение задачи 20-6-2-28 (цена 50р)
Задача 20-6-2-29 Определите скорость, индуцированную вихревым кольцом (вихревой линией, имеющей форму окружности), в точке, расположенной в центре кольца. Радиус кольца r = 1 м; циркуляция (интенсивность вихревой линии) Г = 100 м2/с.
Задача 20-6-2-30 На рис. 2.6 дана система, состоящая из трех прямолинейных вихрей, расстояние между которыми в продольном и поперечном направлениях Н = 50 см. Найдите скорости, сообщаемые вихрями друг другу, и определите характер движения заданной вихревой системы в двух случаях: 1) интенсивности всех вихрей одинаковы по абсолютной величине и знаку (Г1 = Г2 = Г3 = Г); 2) интенсивность нижнего вихря одинакова по величине, но противоположна по знаку двум верхним вихревым жгутам; абсолютная величина циркуляции |Г| - 100 м2/с.

Рис. 2.6. Схема для исследования движения трех вихрей
Задача 20-6-2-31. Определите потенциал скоростей и функцию тока течения, индуцируемого парой прямолинейных вихрей, для двух случаев (рис. 2.7): 1) циркуляции скорости вокруг каждого из вихрей одинаковы по величине и знаку (Г1 = Г2 = Г); 2) указанные циркуляции скорости одинаковы по величине, но противоположны по знаку (Г1= - Г2).

Рис. 2.7. Схема взаимодействия пары прямолинейных вихрей
Задача 20-6-2-32. Найдите траекторию прямолинейного вихря, находящегося внутри двугранного угла, образованного взаимно перпендикулярными стенками.
Задача 20-6-2-33. В жидкости в точках с координатами у = ±h расположена пара вихрей, интенсивности которых равны по величине, но противоположны по знаку (Г1 = - Г2). При этом набегающий поток (на бесконечности) имеет такую скорость, что вихри остаются неподвижными. Найдите соответствующие линии тока.
Задача 20-6-2-34. Покажите, что необходимыми и достаточными условиями существования комплексного потенциала Wz для двумерного плоского несжимаемого потока являются зависимости dф/dx = dф/dy; dф/dy = - dф/dx.
Задача 20-6-2-35. Получите выражение для комплексного потенциала течения несжимаемой жидкости, создаваемого плоским точечным диполем.
Задача 20-6-2-36. Определите комплексный потенциал потока, образующегося в результате наложения поступательного плоскопараллельного потока со скоростью V на течение от диполя с моментом М. Найдите уравнение семейства линий тока полученного сложного течения.
Задача 20-6-2-37. Рассмотрите геометрические характеристики течения, комплексный потенциал которого задан в виде уравнения W = V(z + r02/z).
Задача 20-6-2-38. Движение определяется комплексным потенциалом
W = (1+i)*ln(z2-1) + (2-3i)*ln(z2-4) + 1/z
Найдите расход жидкости через окружность, описываемую уравнением х2 + у2 = 9, и циркуляцию скорости Г по этой окружности.
Задача 20-6-2-39. Комплексный потенциал задан функцией
Wz = V(z+ r02/z)-(Г/(2п*i))lnz
Эта функция, характеризующая сложный поток, получена путем сложения комплексных потенциалов трех более простых течений. Выделите из (2.2) каждый такой Комплексный потенциал и рассмотрите соответствующий характер течения.
Задача 20-6-2-40. По заданному комплексному потенциалу (2.2) определите потенциал скоростей и функцию тока результирующего потока; выведите уравнение обтекаемого контура и найдите распределение скорости в потоке и на этом контуре.
Задача 20-6-2-41. Как изменяются скорость и давление в потоке от плоского точечного источника (или стока) при удаления от него?

